近期,中國科學院上海光學精密機械研究所先進激光與光電功能材料部激光晶體研究中心在硼硅共摻和硼鎢共摻金剛石的制備與性能研究方面取得新進展,相關研究成果分別以“Unusual electrochemical properties of boron and silicon co-doped diamond electrodes”和“Impact of tungsten doping on the physicochemical properties of boron-doped diamond electrodes”為題發表于Surfaces and Interfaces。
摻硼金剛石電極具有優異的物理化學性能,已在多個領域實現廣泛應用。硅、鎢作為金剛石中常見的雜質元素,在某些金剛石的生長過程中會不可避免的被引入金剛石晶格中。因此,闡明這些雜質共摻的影響規律和作用機理對于提升摻硼金剛石電極性能具有重要意義。
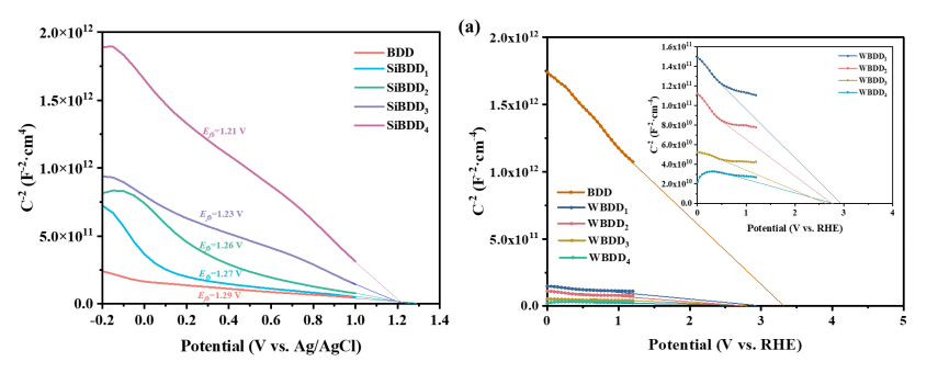
研究團隊通過優化設計摻雜氣路,實現了硼硅、硼鎢共摻金剛石電極的可控制備,并研究了其對電極性能的影響規律。實驗結果顯示,硅共摻可以降低摻硼金剛石電極表面含氧官能團的含量,從而促進內球電子轉移。另一方面,硅共摻也引入了額外的缺陷能級,降低了電極的載流子密度,導致外球電子轉移速率的降低。此外,隨著生長過程中硅濃度的提升,金剛石電極中出現碳化硅相,電極性能顯著下降。而鎢共摻對摻硼金剛石電極的內球電子轉移產生了不利影響,同時也引入了顯著的應力和額外的能級,使金剛石帶隙變窄,促進了外球電子轉移。該研究為新型金剛石電極的設計提供了參考。
相關工作得到國家自然科學基金的支持。


圖1 不同樣品的循環伏安曲線

圖2 不同樣品的Mott- Schottky曲線
主站蜘蛛池模板:
卢湾区|
宣武区|
洛川县|
蛟河市|
遂平县|
仙桃市|
舒城县|
乌拉特前旗|
浪卡子县|
新乡市|
佛教|
微博|
冀州市|
拜泉县|
三台县|
从化市|
新野县|
八宿县|
岫岩|
清苑县|
长阳|
兴安县|
垦利县|
松阳县|
涿州市|
肇州县|
洪江市|
拉孜县|
沽源县|
鄢陵县|
龙南县|
谢通门县|
镇安县|
珠海市|
德安县|
高要市|
禹城市|
济南市|
连南|
油尖旺区|
镇巴县|